The condensing paperweight magnifying lens is made of optical grade PMMA material. The bottom surface is concave and can be placed directly on the paper to move without friction during use. Due to its novel design and excellent manufacturing, it can be used as a magnifying lens, a paperweight, or an exquisite handicraft. It is particularly noble and popular when placed on the desk.
The product mainly has the following characteristics:
1.The bottom is concavity,suffering no friction.It can be moving on the paper directly.
2.Used not only as mangifier but aslo as papaer-weight.
3.It is a exquisite decoration on the desks.

Optical Grade PMMA Material :

Optical Grade Glass Material :

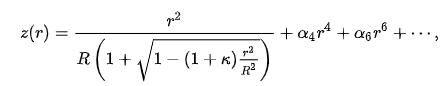
Surface profile:
While in principle aspheric surfaces can take a wide variety of forms, aspheric lenses are often designed with surfaces of the form

where the optic axis is presumed to lie in the z direction, and z(r) is the sag—the z-component of the displacement of the surface from the vertex, at distance r from the axis. The coefficients alpha;describe the deviation of the surface from the axially symmetric quadric surface specified by R and kappa . If the coefficients alpha are all zero, then R is the radius of curvature and kappa is the conic constant, as measured at the vertex (where r=0). In this case, the surface has the form of a conic section rotated about the optic axis, with form determined by kappa :

The above equation suffers from strong correlation between the coefficients of the first term and the polynomial terms. This leads to strong divergences when it comes to fitting the equation to an aspheric surface. Therefore, different equations using "Q-polynomials" where coefficients are orthogonal to each other are an alternative that is sometimes used.

The condensing paperweight magnifying lens is made of optical grade PMMA material. The bottom surface is concave and can be placed directly on the paper to move without friction during use. Due to its novel design and excellent manufacturing, it can be used as a magnifying lens, a paperweight, or an exquisite handicraft. It is particularly noble and popular when placed on the desk.
The Hongxuan(Shenzhen Hongxuan Optoelectronic Technology Co.,Ltd) lens offers low-profile lenses specifically designed for the Luxeon LEDs, OSRAM LEDs ,Bridgelux LEDs or Seoul LEDs,Cree LEDs. A software-optimized aspheric profile enables the generation of several different beam output patterns:narrow,medium,elliptical and wides beams. The high collection efficiency reaches 85% of the total flux emitted by the LEDs. Lens holders are available in white or black,and provide the proper alignment the between the LEDs and the lenses,set correct distance between the lens and LED. The lens holder can be glued to the PCB to provide a secure assembly.


The LED lenses are for CREE,Lumileds,Osram,Seoul,Nichia,Bridgelux,Citizen,Prolight LEDs.and can provide street light lens,flood light lens,lighting lens,MR16 lens,Par22 lens,Par30 lens,Par38 lens,stage lighting lens,flashlight lens,hybrid light lens. These TIR optics are used to get narrow beams with smaller LED's or allow you to use the larger source LED’s and even multi chip LED's. As with the other TIR ranges, we have a number of beams to allow you to use the same size optics for a number of beam angles.
Previous:No content
Next:No content